Almacenamiento eléctrico de la energía
Almacenamiento eléctrico, costes, escala temporal
Alfredo Rubio Guinea*
Papeles de Energía, N.º 32 (abril 2026)
En este trabajo se presenta una visión sobre las tecnologías del almacenamiento de la energía, llamadas a jugar un papel fundamental en el apoyo a la operación de las redes eléctricas. Principalmente, gracias al apoyo en la penetración de las energías renovables, pero no descartando su rol en otros esquemas como la regulación. Para ello, partiremos definiendo los parámetros fundamentales usados para definir el comportamiento y permitir la comparación entre las diversas tecnologías disponibles (eficiencia, densidad de potencia y energía, ciclabilidad, costo, tiempo de respuesta, etc.). A partir de este punto se clasifican los diversos sistemas disponibles en base a sus principios de operación: mecánicos (hidráulica de bombeo, aire comprimido y volantes de inercia), electroquímicos (baterías de plomo, níquel, ion-litio, sodio-ion, baterías de flujo), químicos (almacenamiento en hidrógeno) y electromagnéticos (ultracondensadores y bobinas superconductoras). Para cada tecnología se exponen su funcionamiento, grado de madurez comercial, ventajas, limitaciones y rangos típicos de potencia y energía. El trabajo concluye comparando la aplicabilidad de cada tecnología según la escala temporal de almacenamiento (estacional, interdiaria, intradiaria y regulación de red) y presenta una comparativa de costes, destacando que no existe una solución única, sino que la elección depende de la aplicación concreta.
El desacople entre la producción y el consumo de la energía es inherente a la mayoría de los sistemas, ya sean tecnológicos, biológicos o de otra índole. En la mayoría de estos sistemas, este problema se resuelve mediante el uso de elementos de almacenamiento temporal de la energía. En este sentido, el sistema eléctrico no es una excepción sino un caso relevante, en el que la escasa implementación del almacenamiento energético, debido a diversas razones de índole tecnoeconómica, ha sido resuelta mediante complejos sistemas de control que logran sincronizar las curvas de producción con las de demanda, logrando de esta manera su correcto funcionamiento en términos de una estabilidad de sus parámetros fundamentales (frecuencia y tensión).
Algunas tecnologías de almacenamiento, como la hidráulica de bombeo o pumped hydro se utilizan en el sistema eléctrico desde hace mucho tiempo. No obstante, la cada vez mayor penetración de fuentes de energía renovables como la solar o la eólica, cuya disponibilidad no es controlable y es difícil de predecir, han ocasionado un incremento sustancial de las necesidades de almacenamiento en la red. De ahí el auge que podemos observar en el desarrollo e implementación de sistemas de almacenamiento energético en soporte a la operación de la red eléctrica.
Las tecnologías de almacenamiento aplicables al sistema eléctrico pueden ser clasificadas en base a diversos criterios, como campo de aplicación, principios de operación u otros. En este trabajo, optaremos por una clasificación basada en los principios de operación. En las tecnologías listadas dentro de esta clasificación, solo profundizaremos en aquellas que ya están comercialmente disponibles en el mercado. De esta manera, se obvian tecnologías emergentes que aún no han demostrado una madurez tecnológica suficiente. No obstante, algunas de estas nuevas tecnologías serán tratadas, aunque no en profundidad, en el punto apropiado. En esta clasificación, se contemplan los siguientes principios de operación:
- Mecánicos: estos sistemas utilizan magnitudes mecánicas, como la energía potencial o la energía cinética para el almacenamiento de la energía.
- Electroquímicos: aquí se incluyen las baterías electroquímicas que, mediante pares galvánicos y sus consecuentes reacciones de oxidación-reducción, permiten el almacenamiento y recuperación de la energía.
- Químicos: se basan principalmente en la generación de hidrógeno, su almacenaje y posterior utilización en una celda de combustible para la generación de energía eléctrica.
- Electromagnéticos: estos sistemas se basan en el almacenamiento de la energía mediante el campo eléctrico o magnético.
- Térmicos: basados en la energía contenida por un cuerpo o sustancia al ser calentado de manera significativa. Este calor permite posteriormente la recuperación de la energía mediante diversos métodos. Estos sistemas no serán abordados en este documento, ya que generalmente su punto fuerte no está en el soporte a la red eléctrica, sino en procesos donde se realice un aprovechamiento del calor almacenado (véase el artículo de Toril en este mismo número).
En las siguientes figuras se muestra una clasificación de los sistemas de almacenamiento de la energía y una clasificación de los mismos en términos de potencia y energía.


Los sistemas de almacenamiento de energía están caracterizados por unos parámetros fundamentales que definen su comportamiento y, por ende, su utilización en diversas aplicaciones. Dependiendo de la tecnología, algunos de estos parámetros pueden ser no aplicables o significativos en ciertas tecnologías. No obstante, con objeto de homogenizar la información suministrada, en este documento se considerarán los siguientes parámetros:
- Densidad de energía: define la cantidad de energía, ya sea por volumen o por peso (densidad específica de energía). A pesar de que, por norma general, cuanto mayor sea esta densidad, mejor será valorado el sistema de almacenamiento, la importancia de este parámetro depende de las características específicas impuestas por la aplicación. Así, su importancia en aplicaciones de soporte a la red eléctrica es relativa, pero es más relevante en aplicaciones relacionadas con la movilidad.
- Densidad de potencia: define la potencia constante que podemos intercambiar (tanto en carga como en descarga) con el sistema de almacenamiento, por unidad de volumen o peso (densidad específica). Este parámetro es significativo en aplicaciones en las que la potencia es predominante sobre la energía gestionada. Al igual que en el parámetro anterior, su importancia en sistemas que trabajan en apoyo a la red eléctrica es relativamente baja.
- Ciclabilidad: indica, para un sistema dado, el número de ciclos de operación que podemos obtener de él antes de alcanzar el fin de su vida útil. Este parámetro es fundamental en aquellos sistemas como las baterías, en los que no es posible o es excesivamente caro la realización de labores de mantenimiento orientadas a extender la vida útil del sistema. En otro tipo de sistemas como los mecánicos, en los que es relativamente sencilla la realización de labores de mantenimiento que permiten extender su vida útil, este parámetro tiene una importancia relativa.
- Vida útil: hace referencia al tiempo de operación máximo que podemos considerar para un sistema, con independencia del uso que se haga del mismo. Este parámetro está asociado al deterioro sufrido por componentes básicos del sistema, independientemente del uso realizado de él.
- Coste de instalación por energía: indica el coste de instalación por unidad de energía del sistema de almacenamiento.
- Coste de instalación por potencia: indica el coste de instalación por unidad de potencia del sistema de almacenamiento.
- Velocidad de respuesta: este parámetro nos orienta sobre la velocidad de respuesta del sistema ante un cambio brusco de la consigna de potencia. En el caso de aplicaciones asociadas a la red eléctrica, nos permite estimar la validez del sistema en los diversos escenarios de regulación y ante diversas cargas.
- Potencia mínima de operación: la mayoría de los sistemas descritos en este documento presentan un nivel de potencia mínima de operación por debajo del cual su eficiencia, economía de operación u otros factores técnicos desaconsejan o incluso impiden su operación. Así, por ejemplo, una central hidroeléctrica de bombeo no operará por debajo de un porcentaje de su potencia instalada.
- Seguridad: todo sistema tiene un riesgo específico asociado a su operación. Este parámetro engloba tanto la probabilidad de ocurrencia como la criticidad de un incidente de seguridad. Este parámetro se definirá de manera subjetiva y no cuantitativa, ya que no existen datos suficientes al respecto.
1. SISTEMAS DE ALMACENAMIENTO MECÁNICO
Los sistemas de almacenamiento mecánico son aquéllos que hacen uso ya sea de la energía potencial o cinética que se puede almacenar en un sólido, líquido o gas. Para el aprovechamiento de estas energías, generalmente se requiere de elementos mecánicos como bombas y/o turbinas entre otros. A diferencia de otros sistemas de almacenamiento de energía, suelen mostrar densidades de energía y potencia relativamente bajas. No obstante, y dependiendo de localizaciones y accidentes geográficos concretos, pueden permitir el almacenamiento de grandes cantidades de energía, como es el caso del bombeo o hidrobombeo.
1.1. Sistemas basados en la energía potencial
Como su nombre indica, estos sistemas almacenan la energía mediante el principio de la energía potencial, ya sea gravitatoria o de otro tipo. Comercialmente, los exponentes más significativos de estos sistemas corresponden a las centrales hidráulicas de bombeo y a los sistemas basados en aire comprimido o CAES (Compressed Air Energy Storage, por sus siglas en inglés). No obstante, se han planteado otras posibilidades, como las llamadas baterías de gravedad o arena, las cuales no presentan un estado de madurez suficiente.
Hidráulica de bombeo
Por energía instalada constituía el sistema de almacenamiento más importante a nivel mundial hasta principios de 2026 y uno de los más antiguos en uso. Está basado en un esquema en el que se utiliza la interconexión de dos embalses situados en proximidad y a diferentes alturas, tal y como se ve en la figura 3. En este esquema, puede haber un aprovechamiento hidroeléctrico solamente entre ambos embalses, siendo bidireccional si existe la capacidad de bombeo de agua desde el embalse inferior al superior. Bajo este esquema, se almacena energía cuando se bombea desde el embalse inferior al superior y se genera cuando se retorna el agua al embalse inferior mediante un esquema hidroeléctrico convencional. Adicionalmente, existe la posibilidad del aprovechamiento de la energía del embalse inferior, mediante un esquema hidroeléctrico convencional.

En función del tamaño de los embalses implicados, la cantidad de energía almacenada puede ser muy alta. Esta cantidad de energía almacenada se expresa mediante la siguiente ecuación:

España es uno de los países con mayor aprovechamiento de su capacidad de bombeo hidráulico, ya que un porcentaje muy alto de las localizaciones en las que se puede implementar esta solución están ya en explotación. La figura 4 muestra la central de La Muela 2, en la cuenca del rio Júcar, que, con 1.625 GWh de capacidad de almacenamiento es la mayor instalación europea de este tipo.

La naturaleza de estos sistemas, en los que se requiere de condiciones geográficas específicas, hacen imposible el cuantificar algunas de las características asociadas a los sistemas de almacenamiento, como, por ejemplo, su densidad energética. Aquellas instalaciones en las que el desnivel entre ambos embalses sea mayor y la distancia horizontal entre ellos menor, se verán beneficiadas por una mayor cantidad y densidad de energía y una mejor eficiencia de operación. Por su naturaleza, estos sistemas no pueden ser utilizados a niveles de potencia bajos comparados con su potencia nominal, lo cual dificulta su operación en ciertos escenarios.

Compressed Air Energy Storage (CAES)
Los sistemas CAES basan su operación en el almacenamiento de energía potencial mediante la compresión del aire tomado directamente de la atmósfera. Durante el proceso de compresión del aire, un porcentaje importante de la energía utilizada se transforma en calor, tal como lo expresan las leyes de los gases ideales, lo que reduce la eficiencia del proceso. Para mitigar este efecto, se han desarrollado los sistemas CAES adiabático (CAES-A), en los que se aprovecha esta energía térmica, y que se han convertido en el esquema más utilizado en este tipo de sistemas.
El uso del aire comprimido para mover un generador resulta relativamente ineficiente. Por tanto, se suele utilizar el aire comprimido como entrada a una turbina de gas, minimizando o, incluso eliminando la necesidad de uso de una etapa de compresión inicial y utilizando los gases de salida para un precalentamiento de este aire. Un esquema de operación de un sistema CAES con aprovechamiento mediante turbina de gas se muestra en la figura 5.

En la figura 6 se muestra una de las primeras instalaciones CAES a nivel mundial, en conjunción con turbinas de gas.

Al igual que las centrales hidráulicas de bombeo, la naturaleza de estos sistemas, en los que se requieren de condiciones geográficas específicas, hacen imposible o muy difícil el cuantificar algunas de las características asociadas a los sistemas de almacenamiento, como, por ejemplo, su densidad energética. En cualquier caso, los números asociados a estas tecnologías se resumen en los cuadros que figuran a continuación, tanto para sistemas diabáticos (sin aprovechamiento de calor en la fase de compresión, cuadro 2) como para sistemas adiabáticos (con aprovechamiento de calor en la fase de compresión, cuadro 3).


1.2. Sistemas basados en la energía cinética
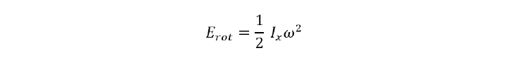
Estos sistemas se basan en acelerar un cuerpo, dotándolo de una cantidad de energía cinética, para posteriormente extraérsela en el momento de necesidad. A fin de optimizar el tamaño de la instalación requerida, la solución idónea es el uso de volantes de inercia. En ellos, se acelera rotacionalmente una masa, almacenando la energía según la ecuación:

En donde Ix representa el momento de inercia de esta masa y ω la velocidad angular de la misma. En base a estos dos parámetros, se pueden distinguir dos tipos de volantes de inercia:
- Alta velocidad: en los que, en base a un momento de inercia contenido, se aumenta de manera significativa la velocidad de giro de ésta, a fin de aumentar la energía contenida. En este tipo de dispositivos, podemos encontrar velocidades de hasta 100.000 rpm.
- Baja velocidad: en los que se aumenta el momento de inercia, ya sea por aumento de la masa, aumento del diámetro del dispositivo o un aumento de ambas magnitudes. En este caso, la velocidad de giro se mantiene relativamente baja, típicamente por debajo de 10.000 rpm.
El uso de los volantes de inercia está ampliamente extendido en otros ámbitos tecnológicos, como los motores de combustión interna o vapor. En ellos dan estabilidad a un sistema en el que el aporte de la energía es pulsante. En el caso de su uso en aplicaciones asociadas a la red eléctrica, reciben el nombre de FESS (Flywheel Energy Storage System).
El FESS está constituido por una masa de forma cilíndrica a la que se hace rotar a una velocidad más o menos alta. No obstante, su estructura no es tan sencilla como a primera vista parece. Si lo hiciéramos libremente, rápidamente observaríamos que, una vez alcanzada la velocidad rotacional requerida, tendríamos que seguir suministrándole una considerable cantidad de energía para mantener esta velocidad. Esto se debe a los efectos de roce tanto con los puntos de soporte de la masa, como con la atmósfera circundante. A fin de aminorar estos problemas y reducir las pérdidas asociadas, se implementan los siguientes mecanismos:
- Rodamientos magnéticos: la masa giratoria que constituye el alma del FESS está soportada por dos rodamientos. Estos rodamientos, además de servir como soporte indispensable para el giro de esta masa, aportan una resistencia parásita al mismo. A mayor velocidad, mayor será esta resistencia. A fin de solventar este inconveniente, se deben utilizar rodamientos de ultra baja resistencia. Entre estos dispositivos, los rodamientos magnéticos son los que generan un menor coeficiente de roce, ya que no hay contacto mecánico entre ellos y la masa en rotación.
- Contenedor de vacío: la otra fuente de pérdidas la constituye el roce con la atmósfera circundante. A fin de atacar este problema, se introduce el conjunto en una cámara hermética de la que se le extrae el aire, creando un vacío interior.
En la figura 7, se puede observar la estructura de dos FESS. A la derecha, uno de baja velocidad y, a la izquierda, uno de alta velocidad.

Otro problema, asociado principalmente a los FESS de alta y muy alta velocidad lo constituye la integridad física del rotor. Debido a la alta velocidad de rotación, el rotor se ve sometido a una fuerza centrípeta considerable que puede causar un colapso estructural del mismo. Para solucionar este problema se están implementado técnicas de refuerzo estructural del rotor en base a materiales compuestos, como matrices poliméricas de aramida y/o fibra de carbono.
Además, los FESS están basados en el uso de motores síncronos. Se usa un único motor tanto para acelerar el rotor, en lo que se podría llamar la fase de carga, como para la extracción de la energía contenida, en lo que se podría denominar fase de descarga. En este caso, es necesario el uso de un convertidor de potencia asociado a él. En FESS de baja velocidad, este convertidor puede estar constituido por un arrancador, ya que permite que el rotor opere posteriormente en sincronía con la red eléctrica (aportando inercia a la red), pero, en los de alta velocidad, es necesario el uso de un sistema de potencia más complejo, como el mostrado en la figura 8.

Las principales características de los sistemas FESS se reflejan en el cuadro 4.

2. SISTEMAS DE ALMACENAMIENTO ELECTROQUÍMICO
Los sistemas electroquímicos de almacenamiento o baterías están basados en el uso de pares galvánicos para el almacenamiento de la energía. Los pares galvánicos son pares de materiales metálicos separados por un electrolito entre los que se genera una diferencia de potencial o voltaje.
Las baterías pueden clasificarse en dos tipos:
- Primarias: son aquellas que no permiten la recarga. Se adquieren en estado cargado, ya sea por el proceso de construcción o por una primera y única carga. Una vez agotada su energía, hay que proceder a su reciclado.
- Secundarias: son aquellas que permiten múltiples recargas. Generalmente, se adquieren con un bajo estado de carga y deben ser sometidas a un primer proceso de carga por parte del usuario final. Permiten múltiples ciclos de operación.
Desde el siglo XIX se han desarrollado diversas tecnologías que se describen a continuación. Para el caso de este documento, nos centraremos en las baterías secundarias, ya que son las únicas de interés para esta aplicación.
2.1. Baterías de plomo o ácido plomo
Las baterías de plomo (PB) fueron desarrolladas por el físico francés Gaston Planté en el año 1859 y, desde el primer momento, pueden considerarse la base del almacenamiento de la energía en diferentes aplicaciones, desde la automoción (primeros coches eléctricos a finales del siglo XIX y baterías de arranque), pasando por los sistemas de soporte industrial (UPS u otros sistemas de respaldo) hasta sistemas de soporte de la red eléctrica.
El principio fundamental del funcionamiento de las baterías de plomo o ácido plomo lo describe la siguiente ecuación química. En esta ecuación, el término izquierdo representa la composición de la batería en su estado cargado y el derecho en el estado descargado. Los dos primeros términos de cada lado representan el cátodo y ánodo, respectivamente, y el tercero el electrolito.

Así, podemos inferir que idealmente, cuando la batería está totalmente cargada, el cátodo está compuesto por dióxido de plomo, el ánodo de plomo y el electrolito de ácido sulfúrico. Por el contrario, cuando está descargada, tanto el cátodo como el ánodo se componen de sulfato de plomo y el electrolito pasa a ser agua. Si observamos las reacciones a nivel de cátodo y ánodo, vemos que se produce de manera local, hidrógeno. En condiciones normales, este gas se reabsorbe por las reacciones que ocurren en el otro electrodo, pero, en condiciones de carga muy rápida o sobrecarga, éste se puede acumular dentro de la batería y/o ser liberado a la atmósfera por válvulas de protección en las baterías. Adicionalmente a voltajes superiores a los 2V el electrolito está expuesto a un proceso de electrolisis, por lo que se genera tanto H2 como O2. Esto implica que se debe tener en cuenta la presencia de estos gases e implementar mecanismos de ventilación y seguridad adecuados.
En función de las distintas aplicaciones específicas, se han desarrollado diversas variantes:
- Batería ventilada o abierta: la celda en sí no está totalmente aislada del exterior, por lo que puede haber un intercambio de gases con el exterior. Éstas corresponden a las primeras celdas desarrolladas y su uso actual está muy limitado. Estas baterías requieren de un constante cuidado y reposición de los niveles del electrolito.
- Batería cerrada o VRLA (Valve Regulated Lead Acid): la celda está totalmente aislada del exterior, aun cuando están provistas de válvulas de liberación que permiten el escape de gases al exterior (H2) en caso de sobrepresión interna. En teoría, no requieren de un mantenimiento como en el caso anterior, por lo que también se les conoce como libres de mantenimiento.
- Batería de gel: se aporta un elemento gelificante al electrolito, a fin de dotarlo de estabilidad y permitir que la batería opere en diversas orientaciones, entre otras ventajas.
- Baterías de fibra de vidrio absorbente (Absorbent Glass Mat): cátodo y ánodo están separados por una matriz de fibra de vidrio, que se encuentra empapada por el electrolito. Estas baterías presentan una mayor integridad estructural que, como norma general, se traduce en una mayor vida útil. El uso de esta estructura no impide el uso de aditivos gelificantes en el electrolito, que son bastante habituales, de hecho.
- Avanzadas: este término es algo ambiguo, pero, como norma general, suele hacer referencia al dopaje del ánodo con carbono. Esto incrementa ligeramente la densidad de energía y mejora la ciclabilidad de las celdas.
- Baterías de tracción (Starting Lighting and Ignition): este término no hace referencia a una tecnología específica, sino a una construcción optimizada para su uso como batería de arranque y soporte en vehículos a motor. En este sentido, están optimizadas para aportar grandes picos de corriente limitados en tiempo, como los requeridos por los motores de arranque. Como contrapartida, suelen comportarse muy mal ante descargas profundas o grandes variaciones de su estado de carga. Es decir que deben permanecer cargadas la mayor parte de su vida útil.
- Ciclo profundo: constituyen la contrapartida a las baterías de tracción, estando su estructura optimizada para la operación bajo grandes excursiones de su estado de carga. Estas baterías son las utilizadas en aplicaciones estacionarias, como el soporte a la red eléctrica.
Las baterías de plomo han sido el principal sistema de baterías utilizado durante el siglo pasado, con especial énfasis en sistemas de soporte o sistemas de alimentación ininterrumpida (UPS).
Las principales características de esta tecnología se resumen en el cuadro 5.

2.2. Baterías de níquel
Existen diversas subtecnologías de baterías desarrolladas en base al uso del oxihidróxido de níquel (NiOOH) como material activo en el cátodo. En términos industriales, las principales tecnologías son:
- Níquel-cadmio (NiCd): el ánodo está compuesto por cadmio. El electrolito usado es una solución acuosa de hidróxido de potasio o KOH.
- Níquel-metal-hidruro (NiMH): el ánodo está compuesto por diversas aleaciones metálicas capaces de absorber hidrógeno. Al igual que en el caso anterior, el electrolito es una solución acuosa de KOH.
- NiH2: el ánodo está compuesto por hidrógeno en estado gaseoso. La complejidad de contener este gas hace que estas baterías solo se usen en aplicaciones sumamente específicas, como las espaciales, por lo que no se tratarán en este artículo.
Existen otras subtecnologías basadas en el níquel, como las NiFe o níquel-hierro, pero su disponibilidad comercial es sumamente limitada, por lo que su descripción se excluirá.
Níquel-cadmio (NiCd)
Esta tecnología fue desarrollada en el año 1899 por el científico alemán Waldermar Jungner, pero su utilización no fue extendida hasta el año 1932, cuando el desarrollo de los electrodos porosos mejoró sus prestaciones y facilidad de fabricación.
En general, estas baterías representaron una mejora en las prestaciones con respecto a las baterías de ácido plomo, sobre todo, a bajas temperaturas. Su funcionamiento se describe en la siguiente ecuación.

En ella, el lado izquierdo representa el estado cargado y el derecho el descargado.
El uso de un metal pesado altamente tóxico como es el cadmio ha hecho que su uso esté limitado a ciertas aplicaciones industriales y aeronáuticas, donde se puede garantizar su correcta recolección y reciclado una vez finalizada su vida útil.
A pesar de que las baterías de NiMH han mejorado a esta tecnología en la mayoría de los aspectos, su comportamiento a bajas temperaturas las hace aún ideales para aplicaciones en las que este resulte crítico.

Las principales características de las baterías NiCd se resumen en el cuadro 6.

Níquel-metal-hidruro (NiMH)
En estas baterías, el cadmio es sustituido por un hidruro metálico capaz de absorber hidrógeno, resolviendo de esta manera los problemas de toxicidad. El desarrollo de esta tecnología se inició en 1967, pero no fue hasta los años ochenta que se resolvieron algunos problemas de estabilidad en estas aleaciones que impidieron su uso comercial.
Como contrapartida a las baterías de NiCd, estas baterías poseen una mayor densidad energética, pero, a cambio, muestran una menor densidad de potencia, un peor comportamiento a bajas temperaturas y una menor tolerancia a la sobrecarga (requieren de una mayor sensibilidad en la detección de las condiciones de final de carga).

Las características de esta tecnología se muestran en el cuadro 7.

2.3. Baterías de ion-litio
El litio, siendo el metal más ligero que existe, ha atraído el interés para su utilización en baterías electroquímicas desde hace muchos años. Los primeros intentos se realizaron con litio en estado metálico, pero fueron poco satisfactorios debido a la baja ciclabilidad y a problemas de seguridad.
No fue hasta 1985 que Akira Yoshino, trabajando para la empresa Sony, desarrolla los primeros prototipos de una batería en la que el litio opera en su estado iónico (Li+). Estos desarrollos dieron sus frutos a principios de 1990, con la comercialización de las primeras baterías de ion-litio para sus cámaras de video.
En general, las baterías de litio están basadas en el uso de cátodos basados en compuestos metálicos de intercalación, que, como su nombre indica, permiten la intercalación de iones de litio. El ánodo está generalmente formado por compuestos de carbono y, más específicamente, grafito (anteriormente se usaba carbón blando).
Debido a la alta tensión de operación de estas celdas (por encima de los 3 voltios) y a la reactividad del litio con el agua, no permiten el uso de electrolitos de base acuosa y, en su lugar, se usa una disolución de sales de litio (LiPF6) en solventes orgánicos (EC, DMC, EMC, etc.).

En general, las baterías de ion-litio presentan una alta densidad de energía aunada a una alta ciclabilidad. En base a estas características, ha sido la tecnología predominante en la electrificación del transporte terrestre. Esto ha permitido una cuantiosa inversión en esta tecnología, permitiendo su desarrollo de manera considerable y con precios cada vez más bajos.
Estas características y situación han provocado que su uso se extienda a otras aplicaciones como las aeroespaciales o el almacenamiento estacionario.
Hoy en día existen múltiples subtecnologías de ion-litio, que se describen a continuación.
Baterías de óxido de litio y cobalto (LiCO)
Esta tecnología fue la primera en ser desarrollada. El cátodo está basado en un oxido de litio y cobalto (LiCoO2) y en un ánodo de grafito. Presenta una alta densidad tanto energética como de potencia, pero tiene dos inconvenientes principales:
- Limitada ciclabilidad en comparación con otras tecnologías basadas en Li-ion.
- Seguridad limitada, ya que al alcanzar una temperatura relativamente baja (ya sea por procesos internos o externos), se desencadena un conjunto de procesos de descomposición internos que son capaces de generar suficiente calor para que, de manera autógena, esta temperatura siga incrementándose. Este fenómeno puede ocasionar la apertura del encapsulado de la batería con la emisión violenta de gases a alta temperatura. Este fenómeno es conocido como avalancha térmica o por su término en inglés thermal runaway.
- Utilización de un alto contenido de cobalto, lo que ocasiona un alto coste, además de los problemas ambientales y éticos asociados a este metal.
Esta tecnología está en desuso en aplicaciones industriales, pero aún se pueden encontrar en algunos dispositivos móviles, como teléfonos, ordenadores portátiles y otros.
Baterías de ferro fosfato de litio (LFP)
El uso de LiFePO4 en el cátodo de las baterías de ion-litio se planteó por primera vez a mediados de los años noventa. No obstante, en los primeros intentos se encontró un inconveniente en la baja velocidad de transporte de los iones de litio en este material. Esto se logró solventar a finales de esa década, mediante la aplicación de las partículas de LiFePO4 con un recubrimiento muy fino de carbono. Como resultado de estos trabajos y la nanoestructuración del material se ha logrado obtener baterías con una densidad de potencia muy buena y una alta ciclabilidad.
Esta tecnología también carece de los inconvenientes del uso del cobalto, pero, como contrapartida, la tensión de operación es más baja, por lo que su densidad energética es sustancialmente más baja que otras tecnologías de litio. Otro punto a favor de esta tecnología lo constituye su alta temperatura de avalancha térmica, lo que la hace una de las más seguras del mercado.
Como la densidad energética no es tan determinante en aplicaciones estacionarias, esta tecnología se está imponiendo en el sector.
Baterías de óxidos de litio, níquel, manganeso y cobalto (NMC)
Esta tecnología se basa en un cátodo en base a LiNxMnyCozO2, en donde los subíndices x, y y z representan el contenido correspondiente de níquel, manganeso y cobalto, respectivamente. Hoy en día, esta tecnología presenta la mayor densidad de energía entre las baterías de litio y es ampliamente utilizada en automoción. La reducción del contenido de cobalto es uno de los objetivos perseguidos con esta tecnología.
Baterías de óxidos de litio, níquel, aluminio y cobalto (NCA)
Esta tecnología se basa en un cátodo en base a LiNxAlyCozO2 en donde los subíndices x, y y z representan el contenido correspondiente a níquel, aluminio y cobalto, respectivamente. Hoy en día, esta tecnología presenta la segunda mayor densidad de energía entre las baterías de litio y está principalmente presente en algunos de los automóviles Tesla, de la mano de Panasonic.
Baterías de titanato de litio (LTO)
Las tres tecnologías anteriores tienen en común la utilización de ánodos de grafito. En este caso, este elemento se sustituye por uno basado en Li2TiO3 o titanato de litio. Esto confiere a estas baterías los máximos niveles de seguridad, densidad de potencia y ciclabilidad. Como contrapartida, la densidad de energía se ve reducida de manera considerable. El comportamiento de este tipo de baterías se asemeja en parte a la de los ultracondensadores, que serán presentados un apartado posterior.
Resumen de las características de las baterías de ion-litio
El cuadro 8 resume las características para las principales subtecnologías de ion-litio.

2.4. Baterías de sodio-ion
Las baterías de sodio-ion han surgido como una alternativa a una posible escasez futura de litio. En ellas se utiliza otro metal alcalino como lo es el sodio y el transporte de sus iones positivos como principal elemento de funcionamiento. El sodio es un elemento abundante en la Tierra y que puede ser extraído de diversas fuentes entre las que destaca las aguas marinas, convirtiendo a esta tecnología en una promesa para la democratización y abaratamiento del almacenamiento de la energía.
Esta tecnología de baterías es de reciente introducción, relativamente, por lo que aún no puede considerarse que ha alcanzado la madurez necesaria, ni disponemos de datos suficientes para conocer su durabilidad. Las primeras celdas comerciales disponibles de esta tecnología no estuvieron disponibles hasta finales del 2024 e inicios del 2025.
Una de las mayores promesas de esta tecnología es su reducción de costes con respecto a las baterías de ion-litio. No obstante, debido a que aún ni la tecnología, ni los procesos constructivos, ni la cadena de suministro han alcanzado la madurez, sus precios se sitúan por encima del de las baterías LFP. Según fuentes consultadas, se espera que esta situación se revierta para aproximadamente el año 2030.
En cuanto a prestaciones, son muy similares de las de LFP tanto en densidad de potencia como de energía.
Como ya se comentó, el principio general de funcionamiento es el mismo de las baterías de ion-litio y está basado en el movimiento de sus iones positivos entre el cátodo y ánodo. Al igual que en las baterías de ion-litio existen diversas composiciones, principalmente del cátodo que dan lugar a tres subtecnologías de baterías de sodio-ion
Óxidos estratificados
El cátodo utilizado en esta tecnología se basa en el uso de óxidos de metales de transición como el hierro, el níquel y el manganeso o mezclas de ellos para alojar los iones de sodio.
Al utilizar una estructura muy similar a la de las baterías de ion-litio, y al igual que ellas, presentan ciertos problemas de estabilidad que pueden desencadenar eventos potencialmente inseguros como la temida avalancha térmica.
Como principal ventaja frente a los otros subtipos, presentan una mayor densidad de energía y pueden aprovechar todos los procesos de fabricación de estas.
Análogos al Azul de Prusia
En estas baterías se utilizan estructuras moleculares cristalinas basadas en cianometalatos que permiten alojar los iones de sodio.
Estas baterías presentan una mayor estabilidad que potencialmente permitirá la realización de un gran número de ciclos de carga y descarga. Aún así, aun presentan cierto riesgo de desencadenamientos del thermal runaway.
El proceso de fabricación se dificulta debido a la necesidad de eliminación del agua utilizada durante el proceso de recubrimiento de los colectores de corriente con el material activo del cátodo.
Polianiones
Basados en la utilización de una estructura tridimensional basada en fosfatos de vanadio y sodio que permiten la intercalación de los iones de sodio.
Constituyen una tecnología térmicamente extremadamente estable, por lo que se consideran baterías totalmente seguras y exentas de la temida avalancha térmica.
Resumen de las características de las baterías de sodio-ion
El cuadro 9 resume las características para las principales subtecnologías de sodio-ion.

2.5. Baterías de flujo
Las baterías de flujo o redoxflow constituyen una excepción a los tipos de baterías que se han descrito hasta el momento. Esta tecnología está basada en la utilización de dos electrodos líquidos (aniolito y catiolito, respectivamente) que se contienen en unos repositorios o tanques. Estos electrolitos son circulados por medio de bombas individuales a través de las cámaras de dos o varias celdas. Estas cámaras están separadas por medio de una membrana de alta conducción iónica y baja conducción electrónica. Es en esta celda donde ocurre la reacción de redox en la que se basa la operación de la batería.
La conexión de las celdas es, en paralelo, hidráulicamente y, en serie, eléctricamente. La estructura de la batería se muestra en la figura 12.

La energía y la potencia están disociadas, a diferencia del resto de baterías. La energía depende del tamaño de los tanques en los que se contienen los electrodos, y la potencia de las características de las celdas en las que se produce la reacción redox.
Su eficiencia es menor que la de otras baterías, debido al consumo asociado a sus sistemas de bombeo. No obstante, su aplicación en apoyo a la red eléctrica resulta interesante por sus costes, ciclabilidad y vida útil.
Se han planteados diversos pares electrolíticos, pero actualmente solo existe una tecnología en explotación, que es la basada en diferentes estados de oxidación del vanadio. Esta tecnología se conoce como batería de flujo de Vanadio (o Vanadio Redox Flow Batttery – VRF). En el cuadro 10, se resumen las principales características para una batería VRF.

3. SISTEMAS DE ALMACENAMIENTO QUÍMICO
En esta categoría se engloban aquellos sistemas que están basados en la realización de reacciones químicas entre diversos elementos que producen energía. A fin de considerarlo un método de almacenamiento de energía, esta reacción debe ser reversible. Aquí, nos limitaremos al almacenamiento químico basado en el hidrógeno (H2), ya que es el más extendido y, adicionalmente, tiene la ventaja de generar directamente energía eléctrica.
El almacenamiento basado en H2 consiste en la generación de hidrógeno a partir de agua, por medio del proceso de hidrólisis. Una vez generado el H2, se debe almacenar de manera adecuada, siendo este uno de los principales retos a solventar en este sistema. Como norma general, se opta por el almacenamiento criogénico o el almacenamiento a muy altas presiones. Cuando es requerida la devolución de la energía (descarga), se procede a la generación de electricidad mediante una pila de combustible.

Un sistema de almacenamiento basado en hidrógeno se divide en los siguientes componentes:
- Generación de hidrógeno: a partir del agua, por medio de un electrolizador. Se consideran tres tecnologías principales en este componente:
- a. Electrolizadores alcalinos: están basados en la obtención del hidrógeno disolución de hidróxido de potasio en agua. Mediante este método, se obtiene hidrógeno de alta pureza (>99 %), con rendimientos entre el 70 y el 80 %.
- b. Electrolizadores PEM: se basan en la utilización de una membrana polimérica de alta conductividad de los iones de hidrógeno, rodeada de catalizadores de platino. Mediante su uso, se obtiene un hidrógeno de muy alta pureza (>99,99 %), con rendimientos entre el 80 y el 90 %.
- c. Electrolizadores de óxidos sólidos: estos electrolizadores están compuestos por una celda de combustible con membrana cerámica (óxidos sólidos), que es capaz de operar en modo regenerativo. Provee buenos resultados y rendimientos, a cambio de operar a temperaturas muy altas (>500 ºC).
- a. Electrolizadores alcalinos: están basados en la obtención del hidrógeno disolución de hidróxido de potasio en agua. Mediante este método, se obtiene hidrógeno de alta pureza (>99 %), con rendimientos entre el 70 y el 80 %.
- Sistema de almacenamiento: una vez generado el hidrógeno, es necesario almacenarlo. Debido al reducido tamaño de la molécula de hidrógeno, su almacenamiento y transporte no resulta trivial, ya que es capaz de difundirse por múltiples materiales, además de provocar su fragilización. Se han planteado diversas tecnologías a este respecto. Otro punto crítico es la baja densidad del hidrógeno, lo que ha provocado que se opte por su compresión e, incluso, licuefacción (sistemas criogénicos) para su almacenamiento.
- Pila de combustible: este componente permite revertir el proceso, generando agua y electricidad a partir del hidrógeno previamente almacenado y el oxígeno obtenido del aire. Existen diversas tecnologías aplicables, siendo las más relevantes:
- a. Pilas de combustible de membrana polimérica.
- b. Pilas de combustible alcalinas.
- c. Pilas de combustible de ácido fosfórico.
- d. Pilas de combustible de carbonatos fundidos.
- e. Pilas de combustible de óxidos sólidos.
- a. Pilas de combustible de membrana polimérica.
Hoy en día, la eficiencia individual de estos componentes es media-baja, por lo que la eficiencia de ciclo cerrado del sistema es baja. Adicionalmente, tanto el electrolizador como la pila de combustible, como norma general, no soportan de manera adecuada variaciones rápidas de los niveles de potencia (deterioro acelerado de las membranas), por lo que no son aplicables a esquemas de regulación primaria o secundaria. En general, estos sistemas se consideran adecuados para el almacenamiento de la energía de larga duración (almacenamiento estacional) o como método de almacenaje de excedentes de producción de energía verde. También son aplicables en sistemas en los que se hibriden con otras tecnologías para solventar los problemas asociados a los largos tiempos de respuesta del sistema. Las principales características de los sistemas de almacenamiento basados en H2 se muestran en el cuadro 11.

4. SISTEMAS DE ALMACENAMIENTO ELECTROMAGNÉTICO
Los sistemas de almacenamiento electromagnético basan su funcionamiento en el almacenamiento de energía en base a una de las dos magnitudes electromagnéticas fundamentales, como son el campo eléctrico y el campo magnético.
4.1. Ultracondensadores
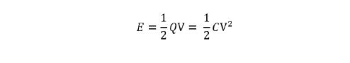
Los ultracondensadores o ultracapacitores basan su operación en el almacenamiento de la energía en forma de campo eléctrico. La ecuación que describe la energía que almacenan es:

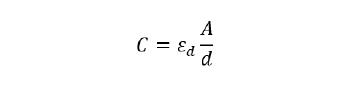
En donde Q representa la carga eléctrica almacenada, expresada en culombios, V el voltaje en voltios y C la capacidad en faradios. La capacidad de un condensador viene dada por la fórmula:

En la que εd d es la permitividad eléctrica del dieléctrico utilizado, A el área de los electrodos y d la distancia entre ellos. En este sentido, se deduce que la capacidad es proporcional al área de los electrodos e inversamente proporcional a la distancia entre ellos. A efectos prácticos, existe un límite en el aumento del área de las placas y la reducción de la distancia entre ellas. Adicionalmente, conforme reducimos la distancia entre ellas, la tensión máxima de operación se reduce debido al campo máximo de operación del dieléctrico.
A efectos prácticos, un condensador “convencional” presenta una capacidad inferior al faradio y tensiones de operación inversamente proporcionales a este valor. Los ultracondensadores solventan esta limitación mediante el uso de los efectos de capacidad de doble capa y la pseudocapacitancia electroquímica. El primer efecto se basa en el uso de un dieléctrico iónico, que provoca la acumulación de capas intercaladas de iones positivos y negativos en cada uno de los electrodos, provocando una multiplicación del área efectiva del condensador. Por su parte, la pseudocapacitancia electroquímica constituye un efecto asociado con la absorción de iones en los electrodos, provocando un comportamiento híbrido entre un condensador y una batería. Gracias a estos efectos, se logran obtener dispositivos con capacidades de hasta 5.000 faradios. Los sistemas de ultracondensadores se caracterizan por una alta densidad de potencia, una baja densidad de energía y una alta ciclabilidad. Además, tienen tiempos de respuesta muy rápidos, que permiten asistir en sistemas con picos de potencia muy rápidos (cuadro 12).

4.2. Bobinas superconductoras
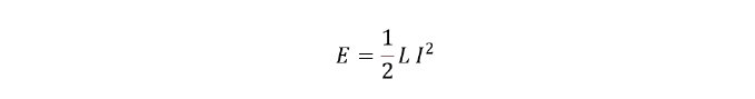
Este sistema se basa en el uso del campo magnético como medio de almacenamiento. Para ello, se hace circular una corriente por una bobina compuesta de múltiples espiras que, una vez cargada, se cortocircuita. La energía contenida de esta manera se describe por la siguiente ecuación:

A fin de evitar el decaimiento de esta corriente debido a las pérdidas óhmicas en el devanado de la bobina, se requiere la utilización de materiales superconductores. Esto implica la necesidad de mantener todo el circuito a temperaturas solo unos pocos grados por encima del 0 absoluto. Esto se logra de dos maneras diferentes:
- Inmersión de la bobina en un líquido criogénico, como el nitrógeno líquido.
- Situar la bobina en una cámara de alto vacío y bajar su temperatura por medio de un criostato.
Hoy en día, esta tecnología solo se ha utilizado de manera experimental y, por ello, no se dispone de información suficiente sobre la misma.
Al igual que los sistemas de ultracondensadores, las bobinas superconductoras se caracterizan por una alta densidad de potencia, baja densidad de energía y unas altas ciclabilidad y vida útil.
Las principales características de este sistema se resumen en el cuadro 13.

4.3. Aplicabilidad de las diferentes tecnologías al apoyo de la red eléctrica
Existen diversos esquemas de utilización de los sistemas de almacenamiento energético en soporte a la operación de la red eléctrica. Un criterio para clasificar estos esquemas lo constituye la ventana temporal de operación. Así podemos identificar, de forma orientativa, los siguientes esquemas y la tecnologías más adecuadas para cada uno de ellos.
- Almacenamiento estacional: estos esquemas se basan en el almacenamiento de la energía durante periodos relativamente largos que pueden abarcar desde varios días, a semanas o incluso meses. Las tecnologías mejor adaptadas a estos esquemas son:
- Hidráulica de Bombeo.
- CAES.
- Hidrógeno.
- Baterías de Flujo.
- Hidráulica de Bombeo.
- Almacenamiento interdiario: estos esquemas se basan en almacenamiento de la energía por periodos de pocos días (generalmente no más de 2). Las tecnologías mejor adaptadas a estos esquemas son:
- Hidráulica de bombeo.
- CAES.
- Hidrógeno.
- Baterías de flujo.
- Hidráulica de bombeo.
- Almacenamiento intradiario: estos esquemas se basan en el almacenamiento de la energía por periodos de tiempo de pocas horas. En este esquema, podemos definir dos subesquemas de operación:
- Aplanamiento de la demanda (Peak Shaving): este esquema se basa en tratar de sincronizar la curva de producción y demanda, almacenando en aquellos momentos en que la primera excede a la segunda e inyectando esta energía a la red cuando esta la necesita. Las tecnologías más adecuadas para estos escenarios son:
- Baterías.
- Hidráulica de bombeo
- CAES.
- Baterías.
- Aplanamiento de la demanda (Peak Shaving): este esquema se basa en tratar de sincronizar la curva de producción y demanda, almacenando en aquellos momentos en que la primera excede a la segunda e inyectando esta energía a la red cuando esta la necesita. Las tecnologías más adecuadas para estos escenarios son:
- Esquemas de regulación: en estos esquemas, el almacenamiento opera como un elemento de regulación de los parámetros fundamentales (frecuencia y tensión) de la red y compensa variaciones no programadas en los niveles de producción y consumo. Para ello, la principal característica es la velocidad de reacción de estos. Existen diversos niveles de regulación con tiempos de respuesta y operación diferentes. En general, las tecnologías más adecuadas para estos escenarios son:
- Volantes de inercia y ultracondensadores: para los escenarios de operación más rápidas con tiempo de respuesta de hasta pocos milisegundos y cantidades de energía baja.
- Baterías: dependiendo de la tecnología utilizada es posible su participación con tiempo de respuesta muy cortos, pero también con tiempos de respuesta y operación más largos.
- Volantes de inercia y ultracondensadores: para los escenarios de operación más rápidas con tiempo de respuesta de hasta pocos milisegundos y cantidades de energía baja.
5. COMPARATIVA DE COSTES
Para finalizar el trabajo, se presenta una comparativa de costes basada en un estudio de la Comisión Europea realizado en el año 2023. Se puede señalar que los costes estimados para las baterías de ion-litio resultan elevados con respecto a los costes actuales de mercado. Como referencia, cabe destacar que los costes de las baterías LFP han descendido, desde la publicación del estudio, situándose por debajo de los 100 €/KWh, aunque a partir del mes de febrero de 2026, se observa un ligero repunte de los mismos. De igual manera, se aprecia la ausencia de datos sobre las baterías de sodio-ion, ya que en esa fecha aún se encontraban en un estado de desarrollo preliminar.

NOTAS
* Investigador en Sistemas del Almacenamiento de la Energía en la Unidad de Transición Energética, Climática y Urbana Tecnalia Research And Innovation Member of Basque Research & Technology Alliance.
